Toggle navigation
首页
讨论版
入门知识
题库
状态
排名
竞赛&作业
下载
Login
问题 2233. -- 飞机跑道(plane)
2233: 飞机跑道(plane)
时间限制:
1 Sec
内存限制:
128 MB
提交:
50
解决:
42
[
提交
][
状态
][
讨论版
]
题目描述
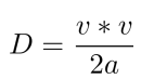
假设一个飞机的加速度是 a 而起飞速度是 v,那么可以使用下面的公式计算出飞机起飞所需的最短跑道长度 D:
现在告诉你飞机的速度和加速度,你能求出起飞所需的最短跑道长度吗?
输入
一行,包括两个整数,第 1 个整数是飞机的速度 v,第二个
整数
是飞机的加速度 a
输出
一个浮点数表示最短的跑道长度,结果保留 3 位小数。
样例输入
230 40
样例输出
661.250
提示
数据说明:
50%数据中,结果可以用整数表示。
全部 100%数据中,v 小于 10000,a 小于 10000.
来源
[
提交
][
状态
]