问题 1497. -- 小球

1497: 小球

时间限制: 1 Sec  内存限制: 128 MB
提交: 36  解决: 19
[提交][状态][讨论版]

题目描述

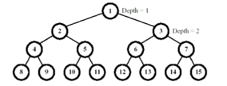
许多的小球一个一个的从一棵满二叉树上掉下来组成 FBT(Full Binary Tree,满二叉 树),每一时间,一个正在下降的球第一个访问的是非叶子节点。然后继续下降时,或者走 右子树,或者走左子树,直到访问到叶子节点。决定球运动方向的是每个节点的布尔值。最 初,所有的节点都是 false,当访问到一个节点时,如果这个节点是 false,则这个球把它变 成 true,然后从左子树走,继续它的旅程。如果节点是 true,则球也会改变它为 false,而接 下来从右子树走。满二叉树的标记方法如下图: 
 


因为所有的节点最初为 false,所以第一个球将会访问节点 1,节点 2 和节点 4,转变节 点的布尔值后在在节点 8 停止。第二个球将会访问节点 1、3、6,在节点 12 停止。明显地, 第三个球在它停止之前,会访问节点 1、2、5,在节点 10 停止。 现在你的任务是,给定 FBT 的深度 D,和 I,表示第 I 个小球下落,你可以假定 I 不超 过给定的 FBT 的叶子数,写一个程序求小球停止时的叶子序号。 

输入

仅一行包含两个用空格隔开的整数 D 和 I。其中 2<=D<=20,1<=I<=524288。 

输出

对应输出第 I 个小球下落停止时的叶子序号。 

样例输入

4 2

样例输出

12

提示

来源

[提交][状态]